最新消息

News & Message

:::
2025/2/5

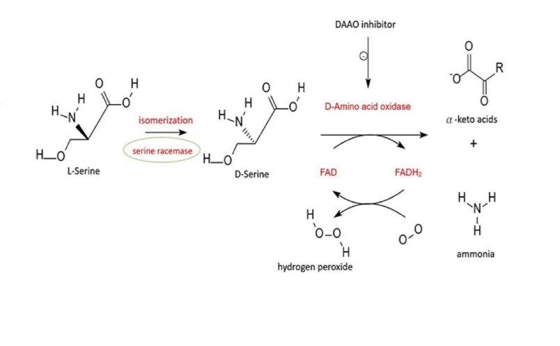
Diagnosing Alzheimer's Disease Specifically and Sensitively With pLG72 and Cystine/Glutamate Antiporter SLC7A11 AS Blood Biomarkers

Diagnosing Alzheimer's Disease Specifically and Sensitively With pLG72 and Cystine/Glutamate Antiporter SLC7A11 AS Blood Biomarkers

作者群:藍先元(Hsien-Yuan Lane)、林潔欣(Chieh-Hsin Lin) 

期刊:Int J Neuropsychopharmacol

出版年月:2023

圖片來源:Int J Neuropsychopharmacol

連結:https://pubmed.ncbi.nlm.nih.gov/35986919/

相關文章

至頂